티스토리 뷰
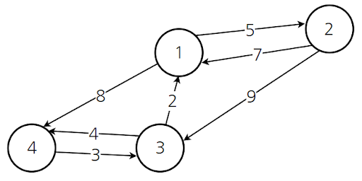
'모든 정점에서 '모든정점'으로의 최단 경로르 구하고 싶다면 플로이드 와샬 알고리즘을 사용하면 된다.
다익스트라 알고리즘은 가장 적은 비용을 하나씩 선택해야 했다면 플로이드 와샬 알고리즘은 기본적으로 '거져가는 정점'을 기준으로 알고리즘을 수행한다는 점에서 그 특징이 있다.

| 0 | 5 | 무한 | 8 |
| 7 | 0 | 9 | 무한 |
| 2 | 무한 | 0 | 4 |
| 무한 | 무한 | 3 | 0 |
위 테이블이 의미하는 바는 '현재까지 계산된 최소 비용'이다.
X에서 Y로 가는 최소 비용 VS X에서 1로 가는 비용 + 1에서 Y로 가는 비용
노드 1을 거쳐가는 경우
| 0 | 5 | 무한 | 8 |
| 7 | 0 | 9 | 15 |
| 2 | 7 | 0 | 4 |
| 무한 | 무한 | 3 | 0 |
노드 2를 거치는 경우
| 0 | 5 | 14 | 8 |
| 7 | 0 | 9 | 15 |
| 2 | 7 | 0 | 4 |
| 무한 | 무한 | 3 | 0 |
위와 같이 노드 3과 노드 4에 반복해주면 된다.
.
.
.
| 0 | 5 | 11 | 8 |
| 7 | 0 | 9 | 13 |
| 2 | 7 | 0 | 4 |
| 5 | 10 | 3 | 0 |
#include <iostream>
using namespace std;
int number = 4;
int INF = 10000000;
int a[4][4] = {
{0, 5, INF, 8},
{7, 0, 9, INF},
{2, INF, 0, 4},
{INF, INF, 3, 0},
};
void floydWarshall() {
int d[number][number];
// 결과 그래프를 복사
for(int i = 0; i < number; i++) {
for(int j = 0; j < number; j++) {
d[i][j] = a[i][j];
}
}
// k = 거쳐가는 노드
for(int k = 0; k < number; k++) {
// i = 출발 노드
for(int i = 0; i < number; i++) {
// j = 도착 노드
for(int j = 0; j < number; j++) {
if(d[i][k] + d[k][j] < d[i][j]) {
d[i][j] = d[i][k] + d[k][j];
}
}
}
}
for(int i = 0; i < number; i++) {
for(int j = 0; j < number; j++) {
cout << d[i][j] << " ";
}
cout << endl;
}
cout << endl;
}
int main() {
floydWarshall();
}'Algorithm > Algorithm' 카테고리의 다른 글
| 강한 결합 요소 (Strongly Connected Component) (0) | 2020.07.25 |
|---|---|
| 위상 정렬 알고리즘(Topology Sort) (0) | 2020.07.25 |
| 다익스트라 알고리즘(Dijkstra Algorithm) (0) | 2020.07.25 |
| 다이나믹 프로그래밍(Dynamic Programming)이란? (0) | 2020.07.22 |
| 크루스칼 알고리즘(Kruskal Algorithm) (0) | 2020.07.21 |
공지사항
최근에 올라온 글
최근에 달린 댓글
- Total
- Today
- Yesterday
링크
TAG
- 다차원 배열
- 2차원 배열
- 포인터
- 강의
- 회전리스트
- 공용체
- 간접 지정
- 프로그래밍
- 공부
- timecomplexity
- 1차원 배열
- 시간복잡도
- 비트필드
- call by reference
- 파이썬
- 자료구조
- codeit
- 배열
- inflearn
- 알고리즘
- call by value
- 직접 지정
- 3차원 배열
- C
- 형승격
- 공간복잡도
- 구조체
- 종류
- Algorithm
- 재귀함수
| 일 | 월 | 화 | 수 | 목 | 금 | 토 |
|---|---|---|---|---|---|---|
| 1 | 2 | 3 | ||||
| 4 | 5 | 6 | 7 | 8 | 9 | 10 |
| 11 | 12 | 13 | 14 | 15 | 16 | 17 |
| 18 | 19 | 20 | 21 | 22 | 23 | 24 |
| 25 | 26 | 27 | 28 | 29 | 30 | 31 |
글 보관함