티스토리 뷰
재귀적으로 푼다는 것은,
문제를 쪼개서 더욱 더 작은 문제로 푸는 것이라고 생각한다.
재귀 = 반복문, 이런식으로 접근하는 것이 가능하다.
하지만 재귀에는 치명적인 문제가 있는데,
함수를 재귀적으로 너무 많이 호출하게 되면 call stack이 너무 많이 쌓이게 되어 stackOverflow 에러가 발생하게 된다.
재귀 함수에는 기본적으로 recursive case 와 base case가 있다.
- Recursive case : 현 문제가 너무 커서, 같은 형태의 더 작은 부분 문제를 재귀적으로 푸는 경우
- Base case : 이미 문제가 충분히 작아서, 더 작은 부분 문제로 나누지 않고 답을 알 수 있는 경우
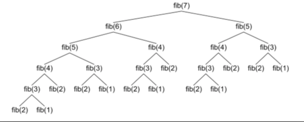
재귀적으로 다가가 본 피보나치 수열
def fib(n):
# base case
if n < 3:
return 1
# recursive case
return fib(n - 1) + fib(n - 2)

시간 복잡도의 측면에서 다가가보자면,
매 호출마다 fib 함수가 재귀적으로 두 번 더 호출되고 이것이 base case 까지 진행됩니다.
이 단계의 개수는 n과 비례합니다. 문제는 약 n번 두배 씩 커지게 된다.
그러므로 시간복잡도는 O(2^n) 이다.
각 자릿수 합에 대한 재귀 함수
def sum_digits(n):
# base case
if n < 10:
return n
# recursive case
return n % 10 + sum_digits(n // 10)
시간 복잡도 측면에서 다가가보면,
int n의 자릿수의 길이를 d라고 표현하면, ex) n = 15432 일시, d = 5이다.
sum_digits의 n은 매 호출마다 1/10으로 줄어들기 때문에 d 번 호출 된다.
그러므로 sum_digits의 시간복잡도는 O(d) 이다.
리스트 뒤집기 - 재귀함수 버전
# 파라미터 some_list를 거꾸로 뒤집는 함수
def flip(some_list):
# base case
if len(some_list) == 0 or len(some_list) == 1:
return some_list
# recursive case
return some_list[-1:] + flip(some_list[:-1])
# 테스트
some_list = [1, 2, 3, 4, 5, 6, 7, 8, 9]
some_list = flip(some_list)
print(some_list)
base case 는 그냥 O(1) 이고,
rerrcursive case 는 재귀적 부분을 제외했을 시,
some_list[ -1 : ]는 O(1) 이고 some_list[ : -1 ]은 O(n - 1)이므로 둘을 더 해 O(n) 나온다.
flip함수 자체의 시간복잡도는 리스트의 길이를 -1씩 줄여가며 진행하므로 리스트의 길이가 n 일시 n번 진행되므로
O(n) 이다.
그러므로 재귀적으로 n번 실행되고 각 호출이 O(n) 이기 때문에 최종 시각복잡도는 O(n^2) 이다.
'Algorithm > Algorithm' 카테고리의 다른 글
| ★ Union-Find 합집합 찾기 (0) | 2020.07.19 |
|---|---|
| C++ / 힙 정렬(Heap Sort) (0) | 2020.07.15 |
| 리스트 회전에 대한 알고리즘 (0) | 2019.06.11 |
| [codeit] Algorithm 공간 복잡도 (Space complexity) (0) | 2019.06.07 |
| [codeit] Algorithm 시간 복잡도 (Time complexity) (0) | 2019.06.07 |
- Total
- Today
- Yesterday
- 재귀함수
- 비트필드
- 자료구조
- Algorithm
- 프로그래밍
- 직접 지정
- 포인터
- 형승격
- 구조체
- 2차원 배열
- 시간복잡도
- 배열
- 다차원 배열
- 파이썬
- 3차원 배열
- 강의
- 회전리스트
- 1차원 배열
- 공간복잡도
- 공부
- call by value
- C
- timecomplexity
- 종류
- 알고리즘
- 공용체
- call by reference
- 간접 지정
- inflearn
- codeit
| 일 | 월 | 화 | 수 | 목 | 금 | 토 |
|---|---|---|---|---|---|---|
| 1 | 2 | 3 | ||||
| 4 | 5 | 6 | 7 | 8 | 9 | 10 |
| 11 | 12 | 13 | 14 | 15 | 16 | 17 |
| 18 | 19 | 20 | 21 | 22 | 23 | 24 |
| 25 | 26 | 27 | 28 | 29 | 30 | 31 |